Вернуться к содержанию учебника
4.
| 999 + 1 | 700 + 80 + 9 |
| 900 - 1 | 347 - 7 - 40 |
| 570 + 30 - 330 | |
| 950 + 50 - 660 | |
Повтори состав трёхзначного числа.
Путём прибавления единицы образуется следующее число, путём вычитания единицы образуется предыдущее число.
5. (Устно.) В классе 19 человек, из них 9 мальчиков. Сколько в этом классе девочек? Составь и реши две задачи, обратные данной.
Повтори, что такое задача, обратная данной.
Решение
19 - 9 = 10 (д.)
Ответ: 10 девочек в классе.
Обратная задача 1:
В классе 19 человек, из них 10 девочек. Сколько в этом классе мальчиков?
19 - 10 = 9 (м.)
Ответ: 9 мальчиков в классе.
Обратная задача 2:
В классе 10 девочек и 9 мальчиков. Сколько всего учеников в классе?
10 + 9 = 19 (уч.)
Ответ: 19 учеников в классе.
Пояснение

Обратная задача 1:

Обратная задача 2:

6. Мише 10 лет. Его дедушка в 6 раз старше Миши, а бабушка на 4 года моложе дедушки. Сколько лет Мишиной бабушке?
Составь похожую задачу о своих родных.
Повтори, как составляется краткая запись к задаче, а также как найти число в несколько раз больше/меньше, на несколько единиц больше/меньше.
Мы предлагаем тебе вариант своей задачи, ты можешь составить свой.
Решение
1) 10 • 6 = 60 (л.) - дедушке.
2) 60 - 4 = 56 (л.)
Ответ: 56 лет бабушке.
Своя задача:
1) 10 • 3 = 30 (л.) - папе.
2) 30 - 1 = 29 (л.)
Ответ: 29 лет маме.
Пояснение

Нам нужно узнать, сколько лет бабушке. Мы знаем, что бабушка младше дедушки на 4 года, но возраст дедушки нам неизвестен. Мы знаем, что дедушка старше Миши в 6 раз. Узнаем, сколько лет дедушке:
1) 10 • 6 = 60 (л.) - дедушке.
Теперь мы можем узнать, сколько лет бабушке:
2) 60 - 4 = 56 (л.)
Своя задача:
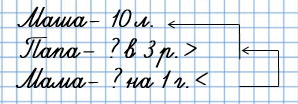
Маше 10 лет, её папе - в 3 раза больше, а мама младше папы на 1 год. Сколько лет маме?

Сначала узнаем, сколько лет папе. Нам известно, что папа старше Маши в 3 раза:
1) 10 • 3 = 30 (л.)
Мы знаем, что мама младше папы на 1 год. Узнаем, сколько лет маме:
2) 30 - 1 = 29 (л.)
7.
| 980 - 80 - 100 | 140 • 6 |
| 640 - 40 + 200 | 260 • 3 |
| 290 + 70 | 480 : 6 |
| 680 + 50 | 360 : 9 |
Повтори состав трёхзначного числа, как делить число, оканчивающее нулями и случаи внетабличного умножения.
Решение
| 980 - 80 - 100 = 800 | 140 • 6 = 840 |
| 640 - 40 + 200 = 800 | 260 • 3 = 780 |
| 290 + 70 = 360 | 480 : 6 = 80 |
| 680 + 50 = 730 | 360 : 9 = 40 |
Пояснение
| 1 столбик |
| 980 - 80 - 100 = 800 1) 980 - 80 = 900 + (80 - 80) = 900 2) 900 - 100 = 800 |
| 640 - 40 + 200 = 800 1) 640 - 40 = 600 + (40 - 40) = 400 2) 400 + 200 = 600 |
| 2 столбик |
| 290 + 70 = (290 + 10) + 60 = 300 + 60 = 360 |
| 680 + 50 = (680 + 20) + 30 = 700 + 30 = 730 |
| 3 столбик |
| 140 • 6 = 100 • 6 + 40 • 6 = 600 + 240 = 840 |
| 260 • 3 = 200 • 3 + 60 • 3 = 600 + 180 = 780 |
| 4 столбик |
| 480 : 6 = 48 дес. : 6 = 8 дес. = 80 |
| 360 : 9 = 36 дес. : 9 = 4 дес. = 40 |
Выберите год учебника
Стр. 5 учебника 2011-2022:
8. В книге 180 страниц. В первый день ученик прочитал 52 страницы, во второй - 28 страниц. Сколько страниц ему осталось прочитать? Реши задачу разными способами.
Стр. 5 учебника 2023-2024:
8. В книге 180 страниц. В первый день ученик прочитал 52 страницы, во второй - 28 страниц. Сколько страниц ему осталось прочитать? Измени вопрос задачи так, чтобы получить ответ: на 20 страниц.
Стр. 5 учебника 2011-2022:
Решение
1 способ:
1) 52 + 28 = 80 (стр.) - прочитал всего.
2) 180 - 80 = 100 (стр.)
Ответ: 100 страниц осталось прочитать.
2 способ:
1) 180 - 52 = 128 (стр.) - осталось прочитать после первого дня.
2) 128 - 28 = 100 (стр.)
Ответ: 100 страниц осталось прочитать.
Пояснение

1 способ:
Сначала мы узнаем, сколько страниц всего прочитал мальчик за 2 дня:
1) 52 + 28 = 80 (стр.)
А теперь из общего числа страниц вычтем число прочитанных:
2) 180 - 80 = 100 (стр.)
2 способ:
Узнаем, сколько непрочитанных страниц осталось в книге после первого дня:
1) 180 - 52 = 128 (стр.)
Из этого числа страниц вычтем прочитанное за 2 день число страниц:
2) 128 - 28 = 100 (стр.)
Стр. 5 учебника 2023-2024:
Решение
1 способ:
1) 52 + 28 = 80 (стр.) - прочитал всего.
2) 180 - 80 = 100 (стр.)
Ответ: 100 страниц осталось прочитать.
2 способ:
1) 180 - 52 = 128 (стр.) - осталось прочитать после первого дня.
2) 128 - 28 = 100 (стр.)
Ответ: 100 страниц осталось прочитать.
На сколько больше страниц осталось прочитать ученику, чем он уже прочитал?
На сколько меньше страниц прочитал ученик, чем ему осталось прочитать?
Пояснение

1 способ:
Сначала мы узнаем, сколько страниц всего прочитал мальчик за 2 дня:
1) 52 + 28 = 80 (стр.)
А теперь из общего числа страниц вычтем число прочитанных:
2) 180 - 80 = 100 (стр.)
2 способ:
Узнаем, сколько непрочитанных страниц осталось в книге после первого дня:
1) 180 - 52 = 128 (стр.)
Из этого числа страниц вычтем прочитанное за 2 день число страниц:
2) 128 - 28 = 100 (стр.)
Выберите год учебника
Стр. 5 учебника 2011-2022:
9.

Стр. 5 учебника 2023-2024:
9.
| Слагаемое | 180 | 40 | 90 | ||
| Слагаемое | 230 | 70 | 150 | ||
| Сумма | 430 | 120 | 150 | 90 |
| Уменьшаемое | 270 | 40 | 75 | 40 | |
| Вычитаемое | 30 | 500 | 75 | ||
| Разность | 20 | 25 | 40 |
Решение
| Слагаемое | 180 | 360 | 40 | 0 | 90 |
| Слагаемое | 230 | 70 | 80 | 150 | 0 |
| Сумма | 410 | 430 | 120 | 150 | 90 |
| Уменьшаемое | 270 | 520 | 40 | 75 | 40 |
| Вычитаемое | 30 | 500 | 15 | 75 | 0 |
| Разность | 240 | 20 | 25 | 0 | 40 |
Пояснение
Чтобы найти неизвестное слагаемое, нужно из суммы вычесть известное слагаемое.
Чтобы найти неизвестное уменьшаемое, нужно к разности прибавить вычитаемое.
Чтобы найти неизвестное вычитаемое, нужно из уменьшаемого вычесть разность.
| 180 + 230 = (100 + 200) + (80 + 30) = 300 + 110 = 410 |
| 430 - 70 = (430 - 30) - 40 = 360 |
| 120 - 40 = (120 - 20) - 20 = 80 |
| 150 - 150 = 0 |
| 90 - 90 = 0 |
| 270 - 30 = 200 + (70 - 30) = 200 + 40 = 240 |
| 500 + 20 = 520 |
| 40 - 25 = 15 |
| 75 - 75 = 0 |
| 40 - 40 = 0 |
10. Кто тяжелее: мишка или белочка - и на сколько граммов?

Повтори меру веса - грамм.
Решение
1) 200 • 2 = 400 (г) - собачка тяжелее белочки.
2) 100 • 3 = 300 (г) - мишка тяжелее собачки.
3) 400 + 300 = 700 (г)
Ответ: мишка тяжелее белочки на 700 г.
Пояснение
Масса чаш, на которых стоят собачка и белочка, одинаковая, но на чаше с белочкой стоят 2 гири по 200 г. Значит, собачка тяжелее белочки на 400 г.
Масса чаш, на которых стоят собачка и мишка, одинаковая, но на чаше с собачкой стоят 3 гири по 100 г. Значит, мишка тяжелее собачки на 300 г.
Если мишка тяжелее собачки на 300 г, а собачка тяжелее белочки на 400 г, значит мишка тяжелее белочки на 700 г.

396
936
529
592
748
848
Повтори, какими знаками можно записать результаты сравнений, а также что такое неравенство.
Ребусы

Повтори, как называются числа при сложении.
Решение
36 + 6 = 42
47 + 16 = 63
Пояснение
Сколько единиц нужно прибавить к 6, чтобы получилось 2 единицы в конце числа? 6, тогда получится 12, а 1 дес. прибавим к десяткам.
Сколько единиц нужно прибавит к 7, чтобы получилось 3 единицы в конце числа? 6, тогда получится 13, а 1 дес. прибавим к десяткам. Считаем десятки. 4 + 1, да ещё 1. Получается 6 десятков.
Вернуться к содержанию учебника