Номер 353 - ГДЗ Алгебра 7 класс. Мерзляк, Полонский. Учебник. Страница 67

Вернуться к содержанию учебника

Страница 67

350 351 352 353 354 355 356

Вопрос

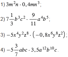
Упростите выражение:

Подсказка

Ответ


Вернуться к содержанию учебника