Номер 362 - ГДЗ Алгебра 7 класс. Мерзляк, Полонский. Учебник. Страница 71

Вернуться к содержанию учебника

Страница 71

359 360 361 362 363 364 365

Вопрос

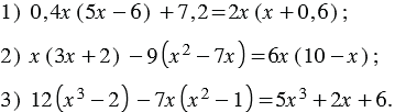
Найдите корень уравнения:

Подсказка

Ответ


Вернуться к содержанию учебника