Номер 458 - ГДЗ Алгебра 7 класс. Мерзляк, Полонский. Учебник. Страница 85

Вернуться к содержанию учебника

Страница 85

455 456 457 458 459 460 461

Вопрос

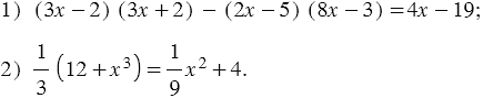
Найдите корни уравнения:

Подсказка

Ответ


Вернуться к содержанию учебника