Номер 419 - ГДЗ Алгебра 8 класс. Мерзляк, Полонский. Учебник. Страница 104

Вернуться к содержанию учебника

Упражнения § 12. Страница 104

416 417 418 419 420 421 1

Вопрос

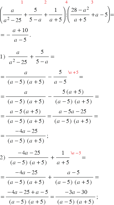
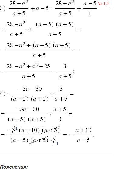
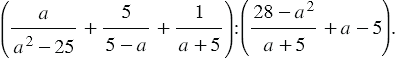
Упростите выражение:

Подсказка

Ответ


Вернуться к содержанию учебника