Номер 773 - ГДЗ Алгебра 8 класс. Мерзляк, Полонский. Учебник. Страница 187

Вернуться к содержанию учебника

Упражнения §22. Страница 187

770 771 772 773 774 1 775

Вопрос

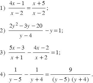
Решите уравнение:

Подсказка

Ответ


Вернуться к содержанию учебника